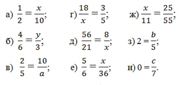
Найдите значение каждой буквы, при котором верно равенство. Выберите правильную строку ответов в соответствии 1-а), 2-б) и тд.
Приложения:

Ответы
Ответ дал:
0
прибыл как гооырараор
Вас заинтересует
2 года назад
3 года назад
3 года назад
8 лет назад
9 лет назад
9 лет назад