Ответы
Ответ дал:
0
Ответ:
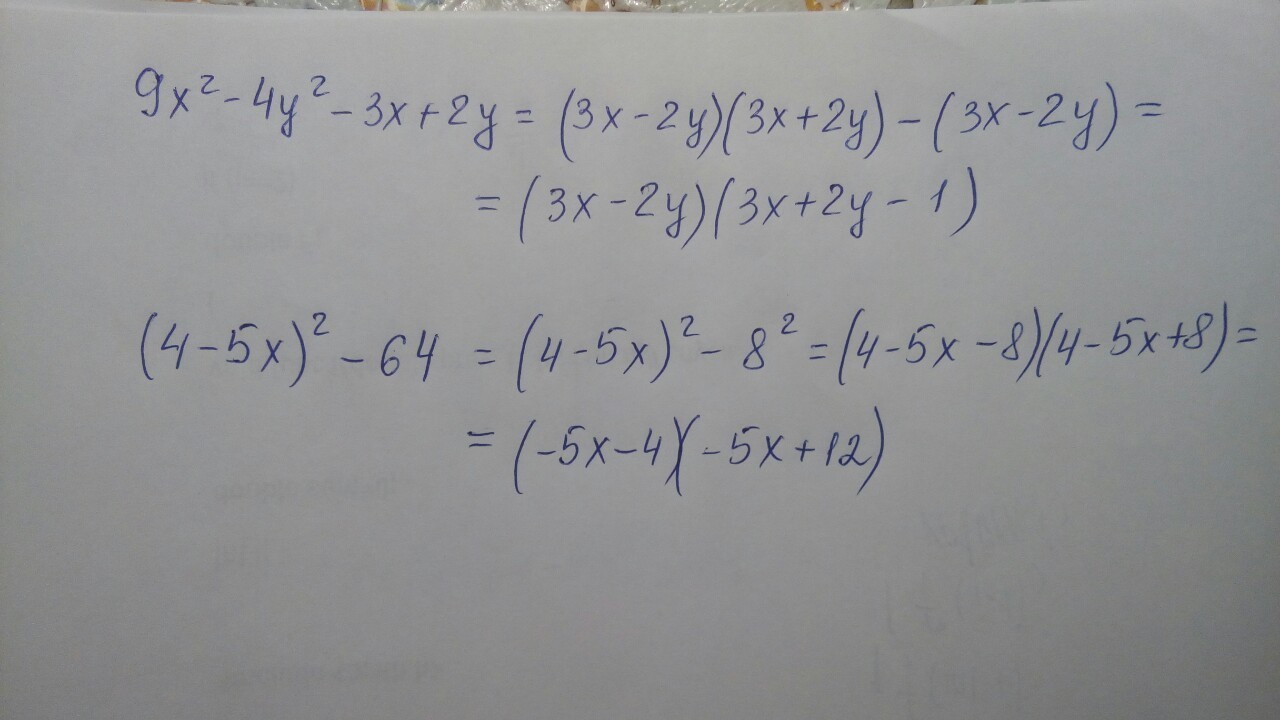
Используй формулы разности квадратов х^2-Y^2=(X-Y)(X+Y)
Пошаговое объяснение:
Приложения:

Вас заинтересует
2 года назад
3 года назад
8 лет назад
8 лет назад
9 лет назад
9 лет назад