• Предмет: Геометрия
  • Автор: Oleksandr231
  • Вопрос задан 8 лет назад

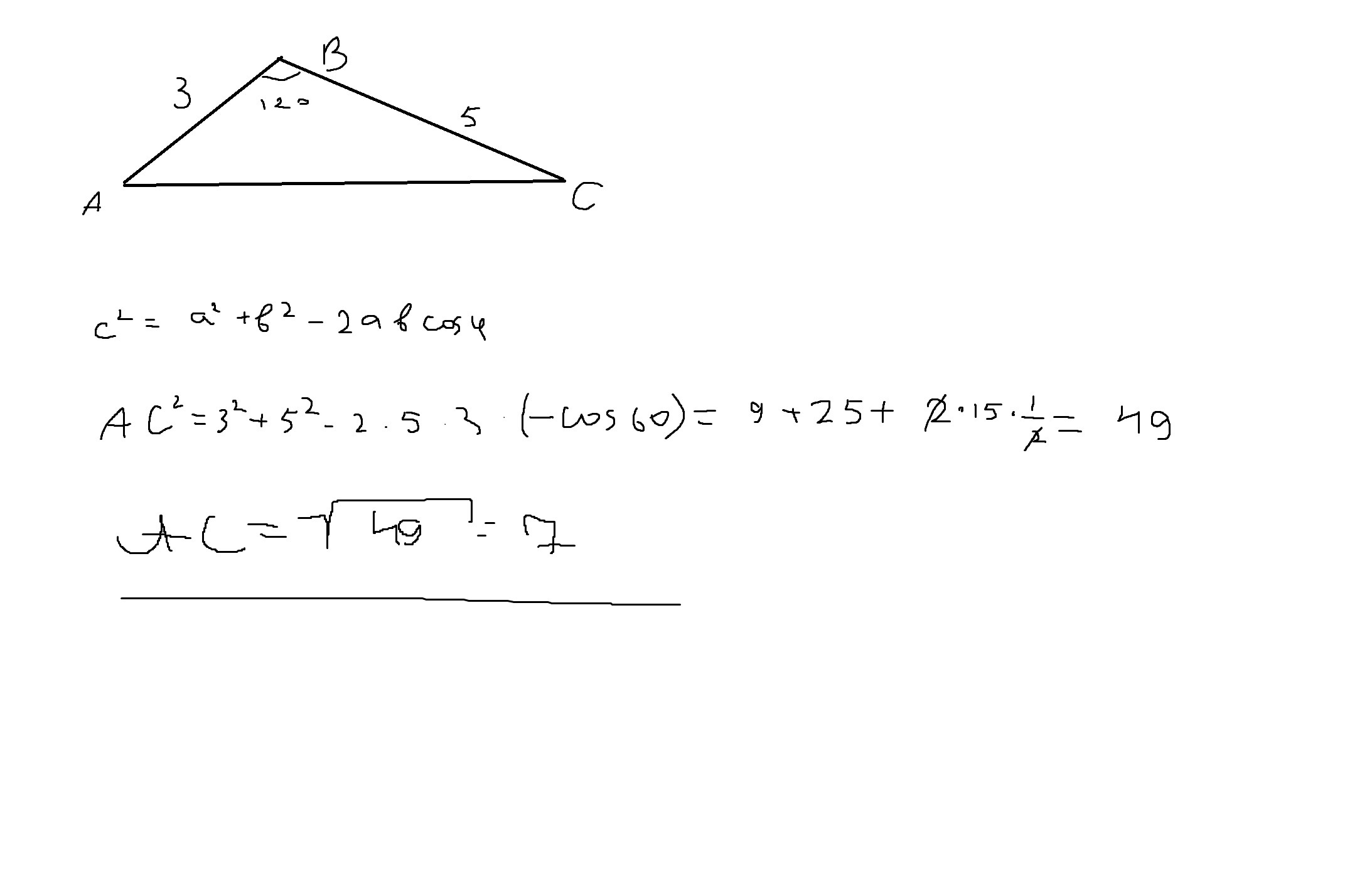
В треугольника известно 2 стороны АВ = 3 см ВС = 5 см угол В = 120 градусов найти основание АС

Ответы

Ответ дал: glob4ik
0

держи...................

Приложения:
Вас заинтересует