Ответы
Ответ дал:
0
Ответ:
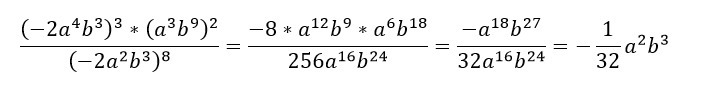
=-1/32 a^2 b^3
Пошаговое объяснение:
см. вложение
Приложения:

Вас заинтересует
2 года назад
2 года назад
3 года назад
3 года назад
8 лет назад
9 лет назад