Помогите,пожалуйста.
у меня получился ответ (2;+бесконечность)
Не знаю, правильно ли это
Приложения:

Ответы
Ответ дал:
0
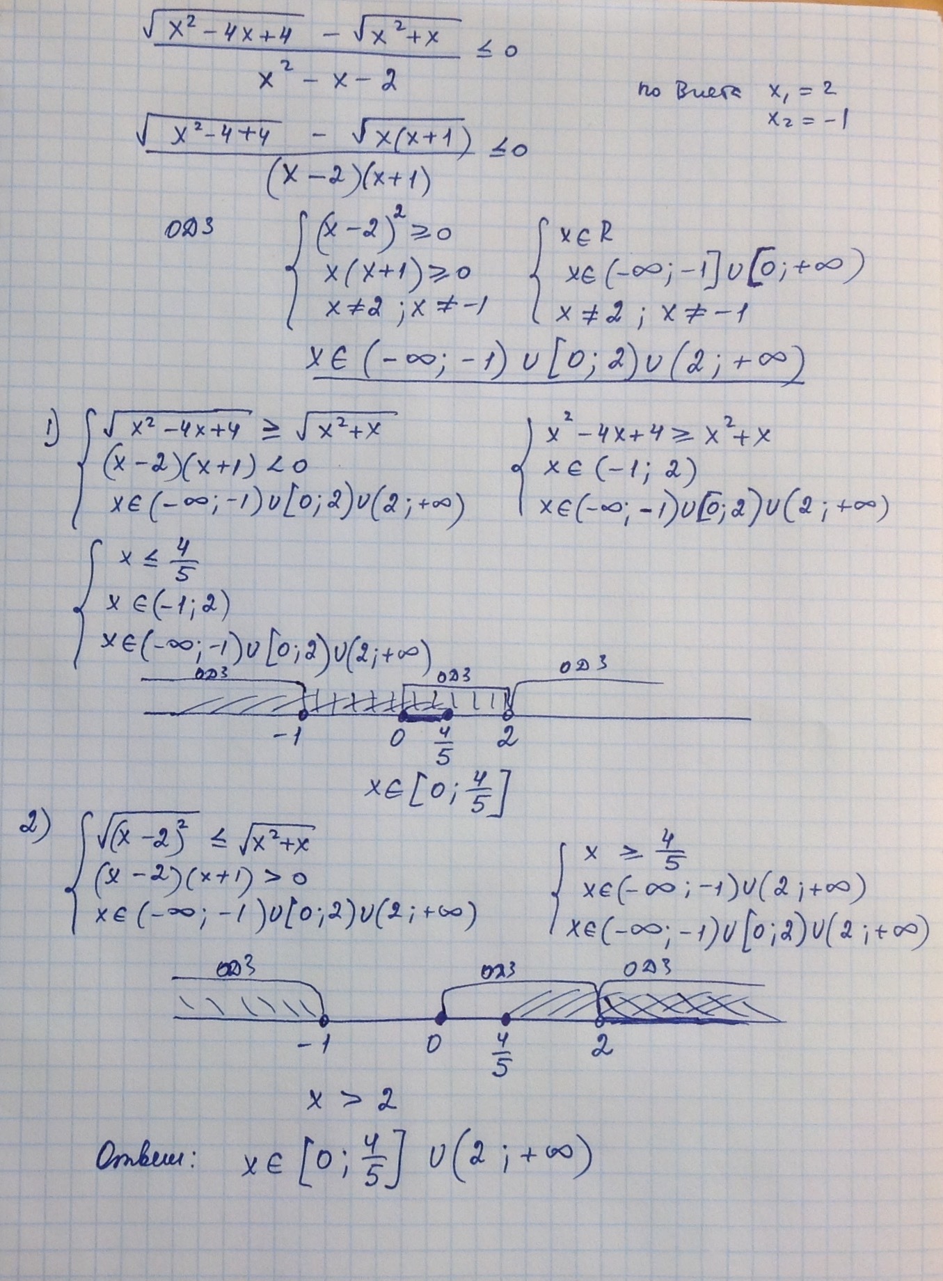
Ответ на фото/////////////////////
Приложения:

Ответ дал:
0
Ответ абсолютно правильный. Почему же отмечен как нарушение?
Ответ дал:
0
Кто людям помогает, тот поступает зря, хорошими делами прославиться нельзя, вывод : пора уходить с сайта, пусть сами решают
Ответ дал:
0
Поддерживаю
Ответ дал:
0
Не надо уходить, мне будет не хватать ваших решений)
Ответ дал:
0
спасибо
Вас заинтересует
3 года назад
8 лет назад
9 лет назад