Ответы
Ответ дал:
0
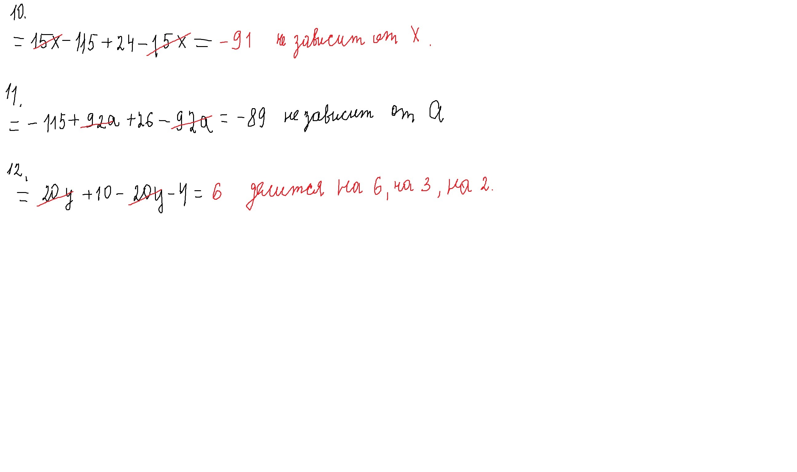
12) значение выражения делится на 2, 3, 6.
Ответ дал:
0
эта какой номер?
Ответ дал:
0
спс понил
Ответ дал:
0
Ответ:
те числа,которые зачеркнуты красным цветом -противоположные и их сумма равна 0,поэтому они взаимно уничтожаются.
Приложения:

Вас заинтересует
2 года назад
3 года назад
3 года назад
8 лет назад
8 лет назад
9 лет назад