• Предмет: Алгебра
  • Автор: odessayakunin
  • Вопрос задан 8 лет назад

Пожалуйста, очень нужна помощь!!!
Необходимо упростить выражение:
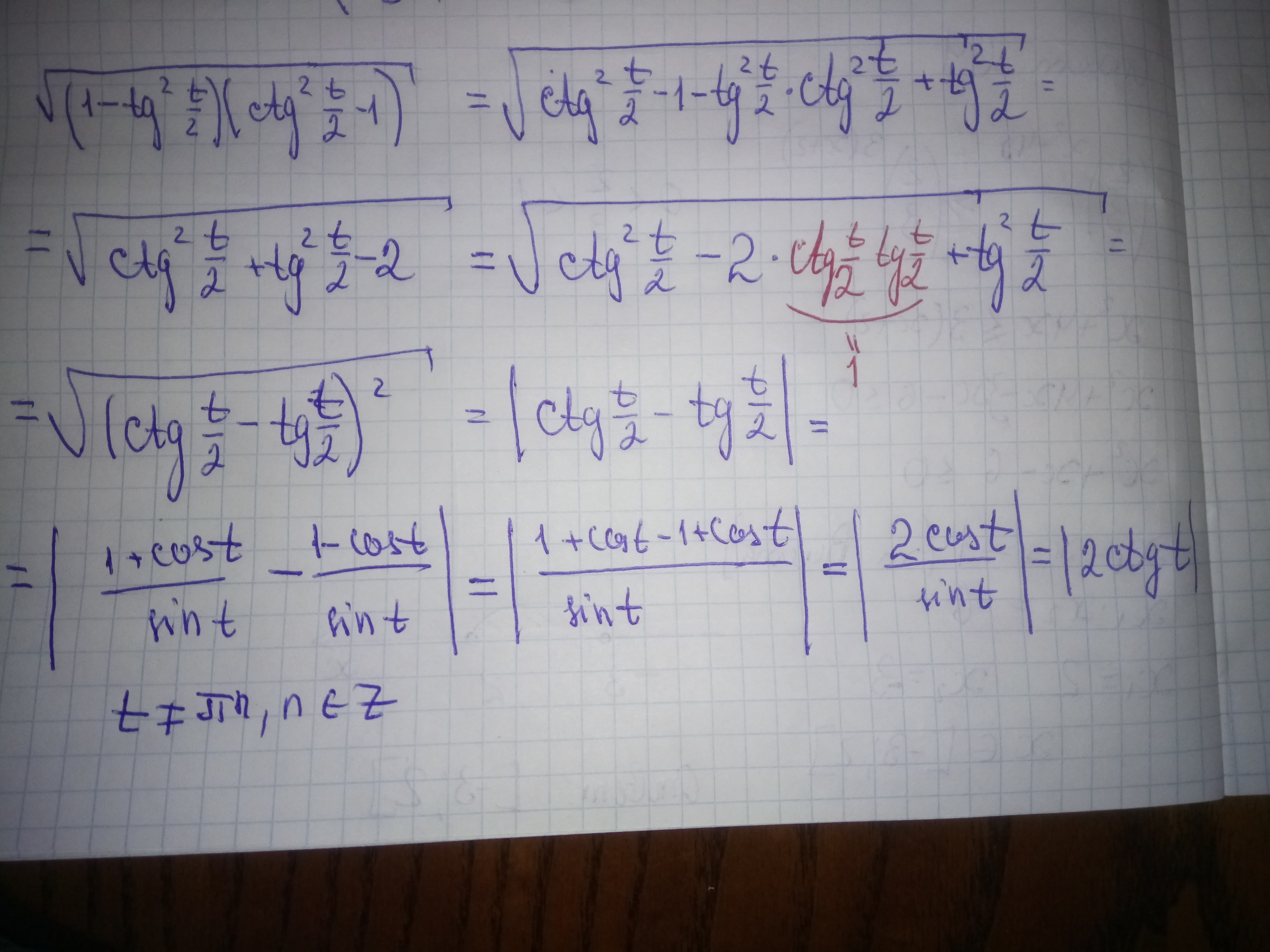
sqrt((1-tg^2 t/2)*(ctg^2 t/2 -1))

Ответы

Ответ дал: valenivan
0

Если верно прочитано условие

Приложения:
Ответ дал: odessayakunin
0
Огромнейшее спасибо!!!!
Вас заинтересует