Геометрия 8 класс!! Срочно! 88 баллов!!!
Решайте пожалуйста по плану!!
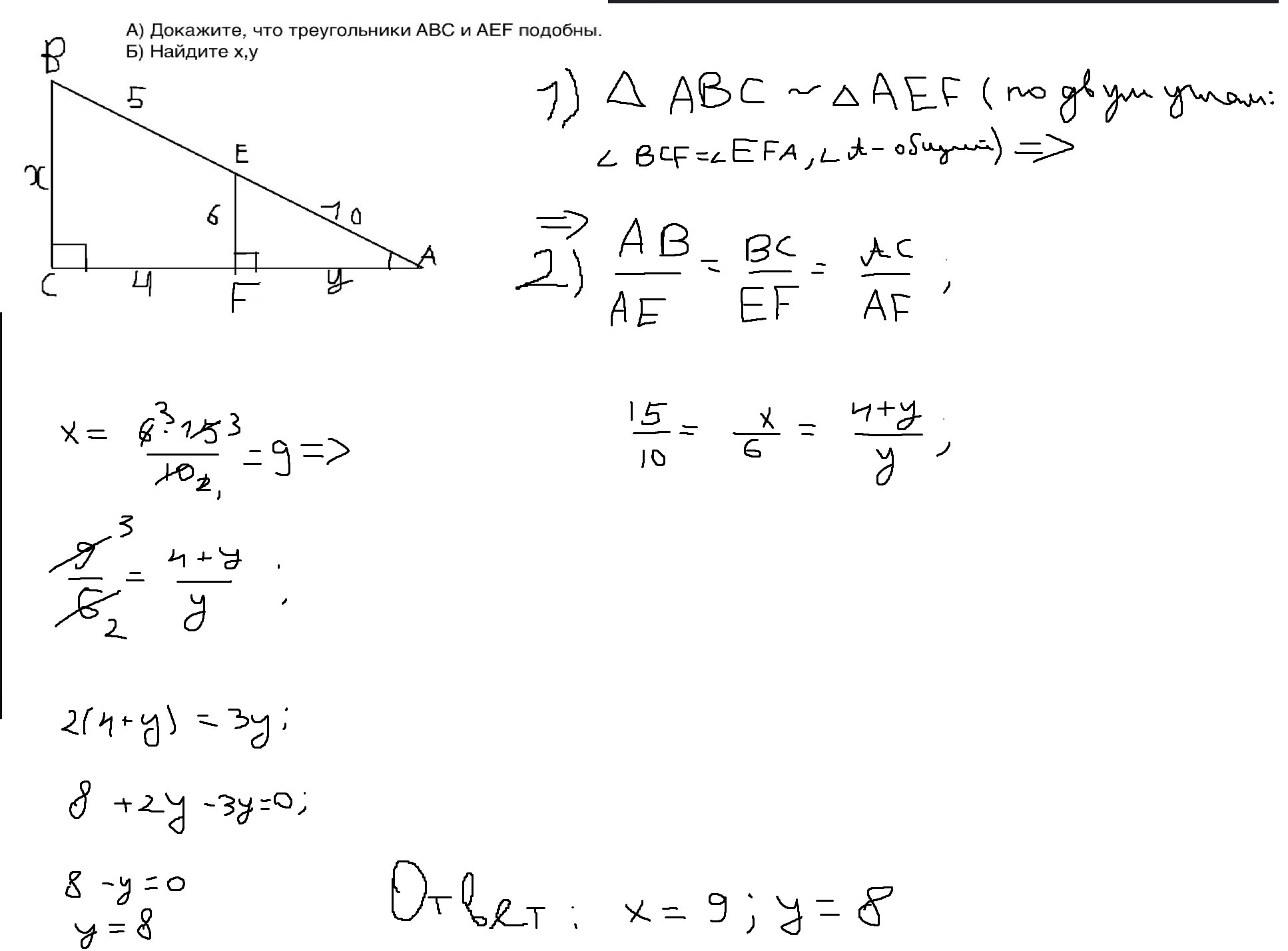
А) Докажите, что треугольники AED и FEC подобны.
Б) Найдите сходственные стороны этих треугольников и EF , FC
Спасибо!!!
Приложения:

Ответы
Ответ дал:
0
Держи...............
Приложения:

Вас заинтересует
2 года назад
3 года назад
3 года назад