Разложи на множители квадратный трёхчлен x^2+20x+96
(Первым вводи наибольший корень квадратного уравнения)
Ответы
Ответ дал:
0
Решение на фото......
Приложения:

Ответ дал:
0
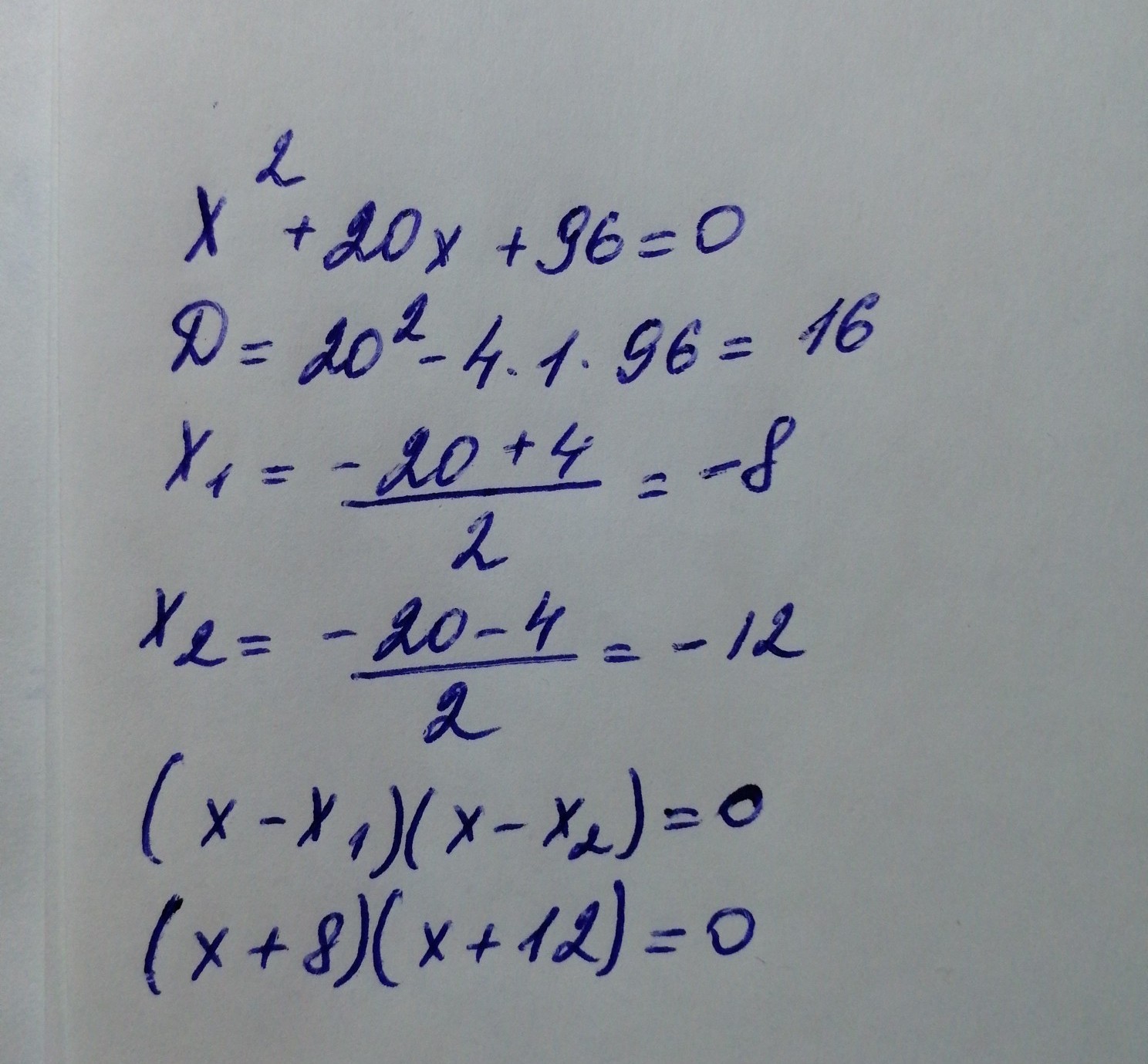
x^2+20x+96=0
x1=-8 x2=-12
(x+8)(x+12)=0
x1=-8 x2=-12
(x+8)(x+12)=0
Приложения:

Вас заинтересует
2 года назад
3 года назад
3 года назад
8 лет назад
9 лет назад