Ответы
Ответ дал:
0
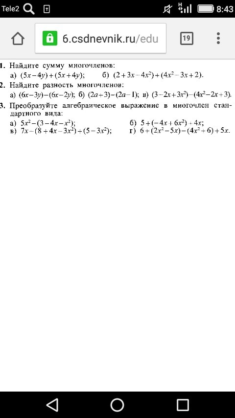
раскрываем скобки,не забываем про знаки.
при решении уравнений с одной переменной- х в одну сторону,все остальное за знак =
Приложения:



Вас заинтересует
2 года назад
2 года назад
3 года назад
3 года назад
8 лет назад
9 лет назад