Ответы
Ответ дал:
0
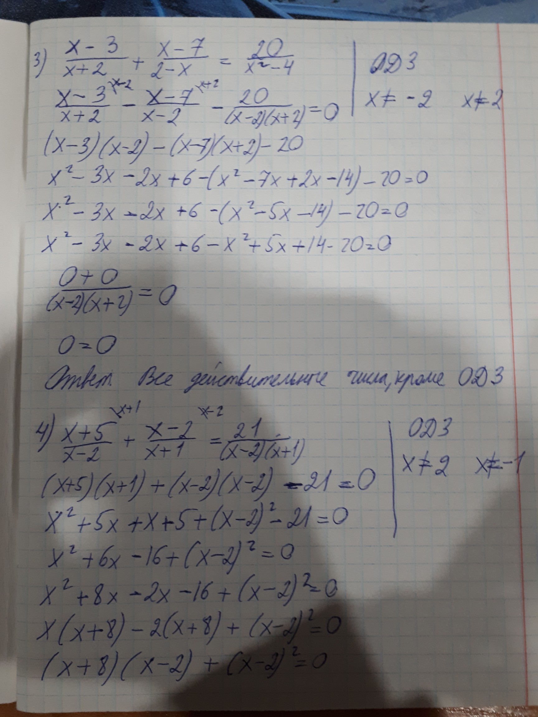
Вот все смотри)).......
Приложения:




Ответ дал:
0
Большое спасибо
Ответ дал:
0
Только вот.. как вы 3-ее решали... не понимаю
Ответ дал:
0
Что именно не понятно
Ответ дал:
0
А я не на ту фотку смотрела всё понятно
Ответ дал:
0
)))
Вас заинтересует
2 года назад
2 года назад
3 года назад
8 лет назад