• Предмет: Математика
  • Автор: Altoshka07
  • Вопрос задан 8 лет назад

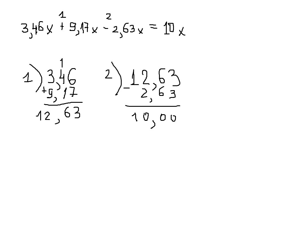
3,46x+9,17x-2,63x=
пжжж плизз помогите мне срочно!!!!

Ответы

Ответ дал: sizkalizka
0
.........................
Приложения:
Ответ дал: malakasha
0

Ответ: 10x


Пошаговое объяснение:

3.46x+9.17x-2.63x= 10x

Приложения:
Вас заинтересует