• Предмет: Математика
  • Автор: Ilyha007199999999
  • Вопрос задан 8 лет назад

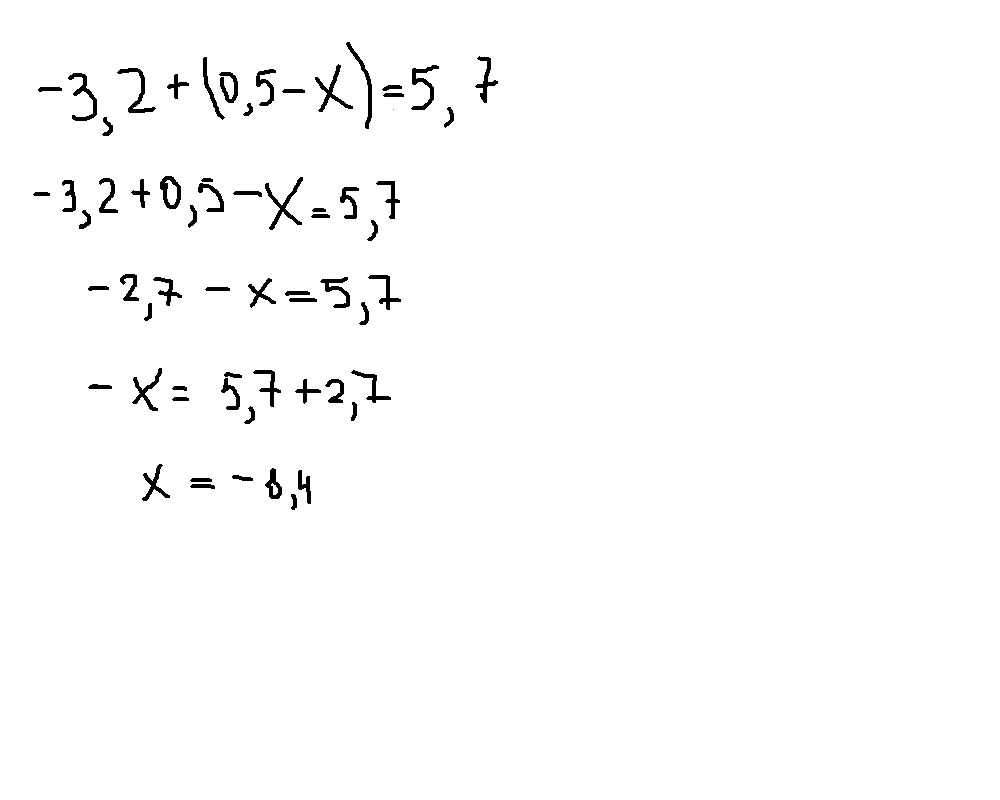
-3,2+(0,5-x)=-5,7


Срочно пожалуйста

Ответы

Ответ дал: malakasha
0

Ответ:

-8,4

Пошаговое объяснение:


Приложения:
Вас заинтересует