Ответы
Ответ дал:
0
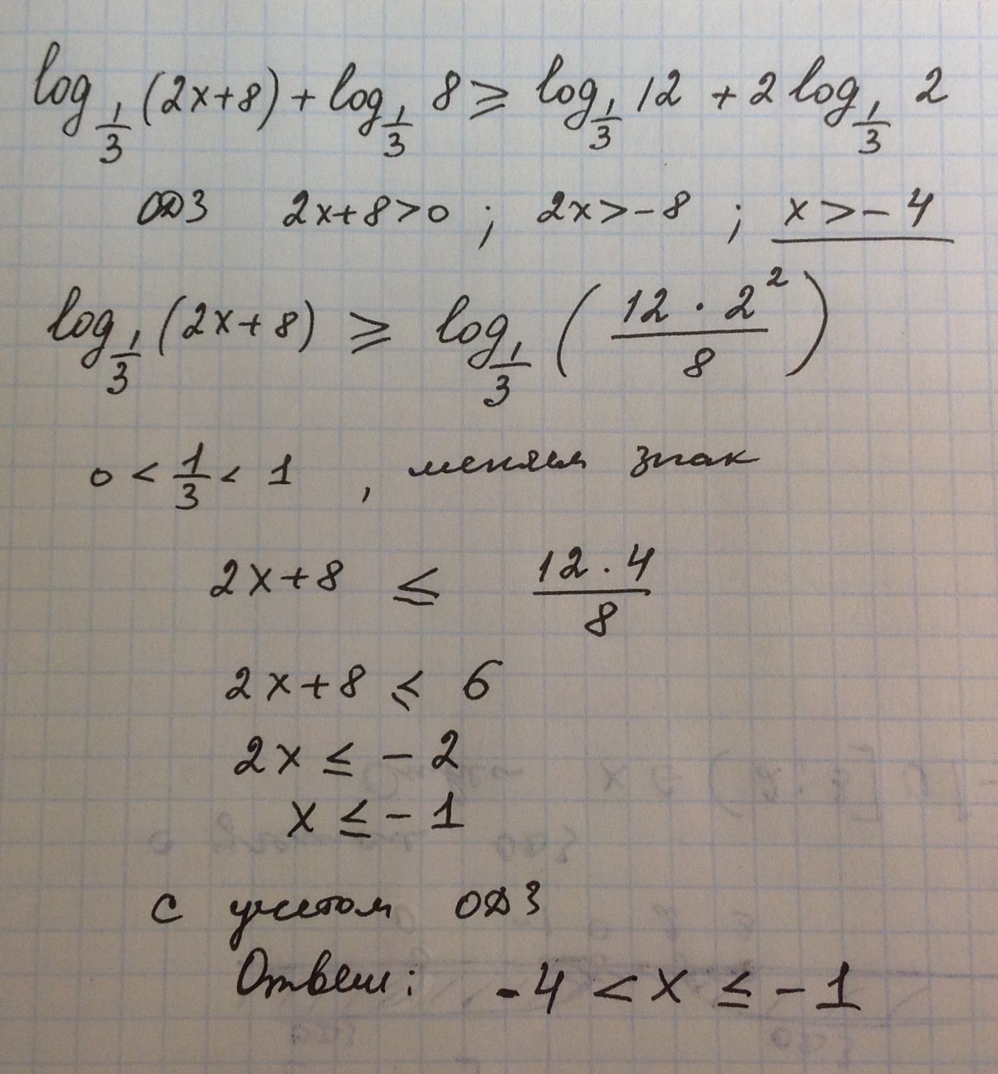
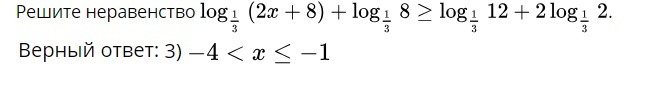
Ответ на фото///////////////
Приложения:

Ответ дал:
0
Спасибо огромное, вы чо\очень помогли !!!!!
Вас заинтересует
2 года назад
3 года назад
9 лет назад