• Предмет: Математика
  • Автор: lara5681
  • Вопрос задан 8 лет назад

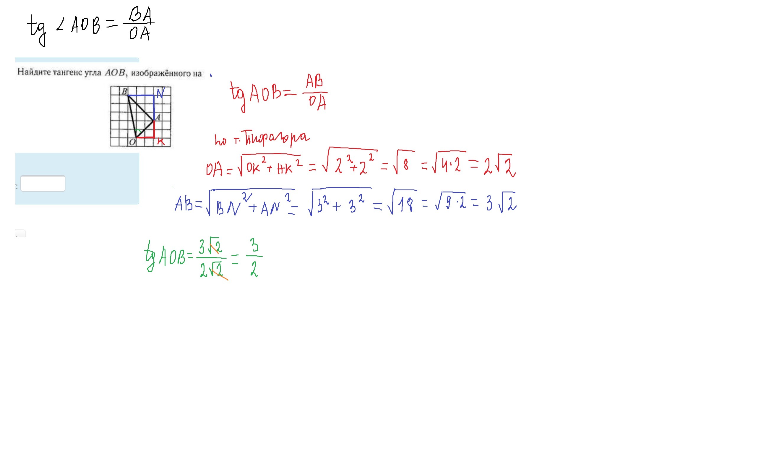
Найдите тангенс угла АОВ
Заранее Спасибо

Приложения:

Ответы

Ответ дал: Eraka
0
тангенс это отношение противолежащего катета к прилежащему
3√2/2√2=3/2=1,5
Ответ дал: parus77
0

Ответ:

тангенс это отношение противолежащего катета к прилежащему катету.

Построим на катетах прямоугольные треугольники и применяя т.Пифагора найдем длины этих катетов.(если конечно у вас в условии дана,что сторона квадрата равн 1)


Приложения:
Вас заинтересует