Ответы
Ответ дал:
0
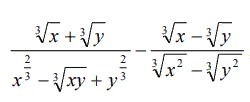
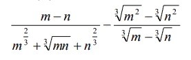
пожалуйста, всё есть в фото математике)))
Приложения:


Вас заинтересует
2 года назад
2 года назад
3 года назад
3 года назад
8 лет назад
9 лет назад
9 лет назад