• Предмет: Алгебра
  • Автор: lingvini2013
  • Вопрос задан 8 лет назад

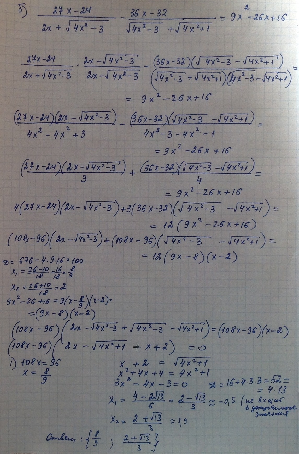
Решите уравнения методом умножения на сопряжённое!

Приложения:

Ответы

Ответ дал: maksimcat
0

Ответ на фото////////////////////

Приложения:
Вас заинтересует