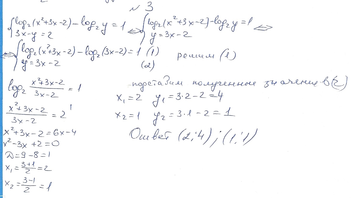
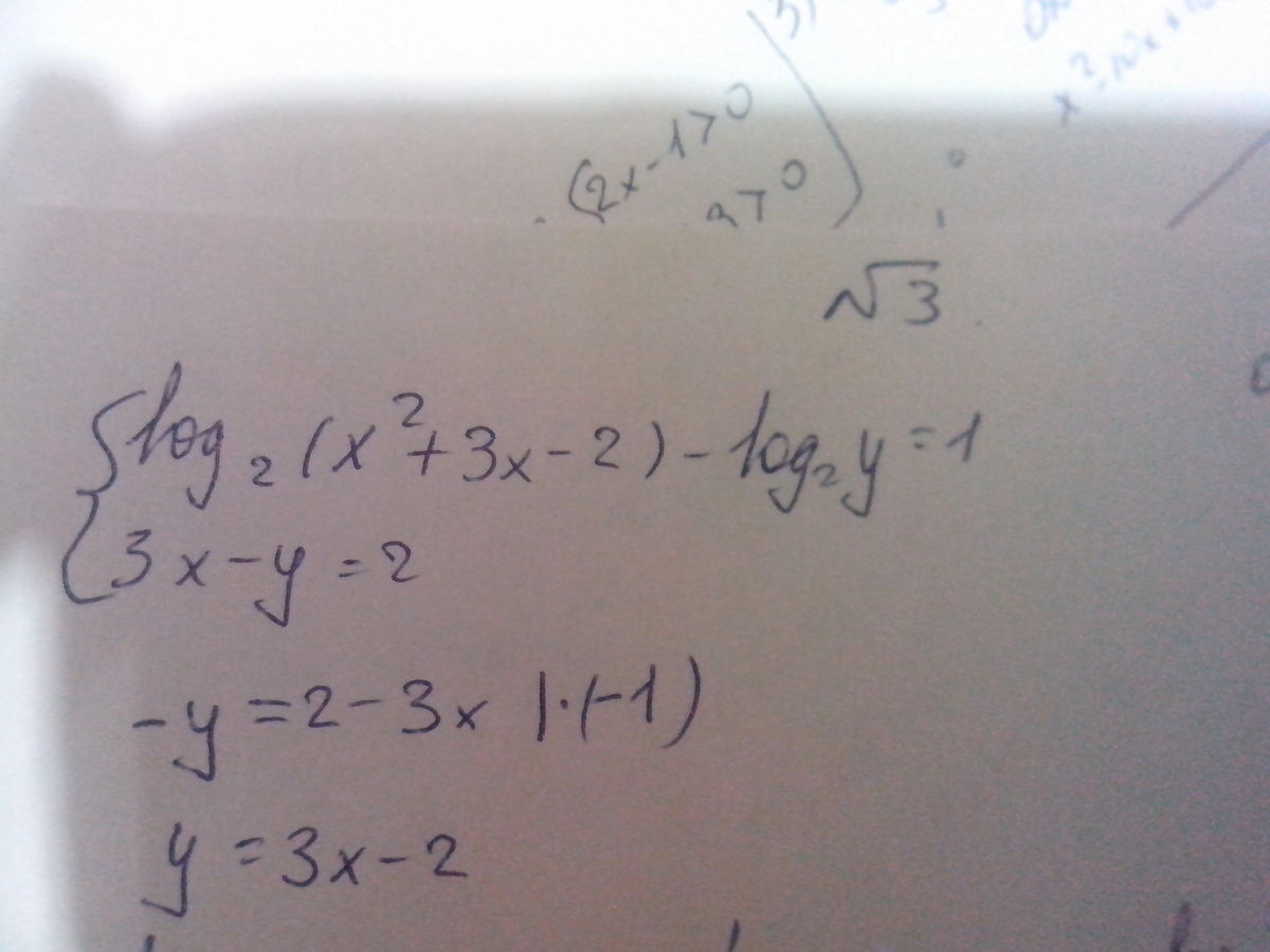
Ответы
Ответ дал:
0
.........................................................
Приложения:

Вас заинтересует
2 года назад
2 года назад
10 лет назад