• Предмет: Математика
  • Автор: Аноним
  • Вопрос задан 8 лет назад

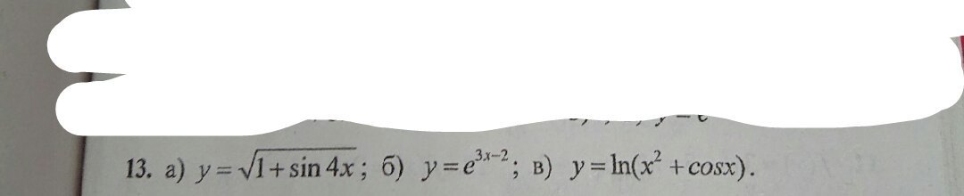
Найдите производные сложных функций. Решите пожалуйста подробно. Даю 40 баллов

Приложения:

Ответы

Ответ дал: DragonetSoul
0
<br />y=sqrt{1+sin(4x)} \<br />y'=frac{1}{2sqrt{1+sin(4x)}}*(4cos(4x))=frac{2cos(4x)}{sqrt{1+sin(4x)}}\<br />b) y=e^{3x-2}\<br />y'=3e^{3x-2}\<br />c) y=ln(x^2+cosx)\<br />y'=frac{1}{x^2+cosx}*(2x-sinx)\<br />
Вас заинтересует