• Предмет: Алгебра
  • Автор: Dizz
  • Вопрос задан 8 лет назад

Что нибудь , хотя бы

Приложения:

Ответы

Ответ дал: m11m
0

!!!!!!!!!!!!!!!!!!!!!!!!!!!!!!!!

Приложения:
Ответ дал: Dizz
0
СПАСИБООООО
Ответ дал: СлаваSLOVO
0
Здравствуйте
Ответ дал: СлаваSLOVO
0
Помогите по математике. Тест
Ответ дал: СлаваSLOVO
0
https://znanija.com/task/31524785
Ответ дал: maksimcat
0

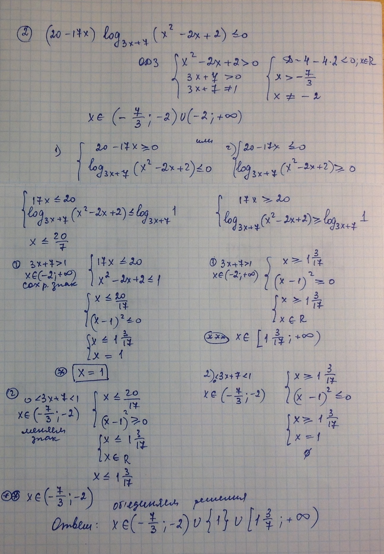
2). Ответ на фото//////////////////

Приложения:
Вас заинтересует