Ответы
Ответ дал:
0
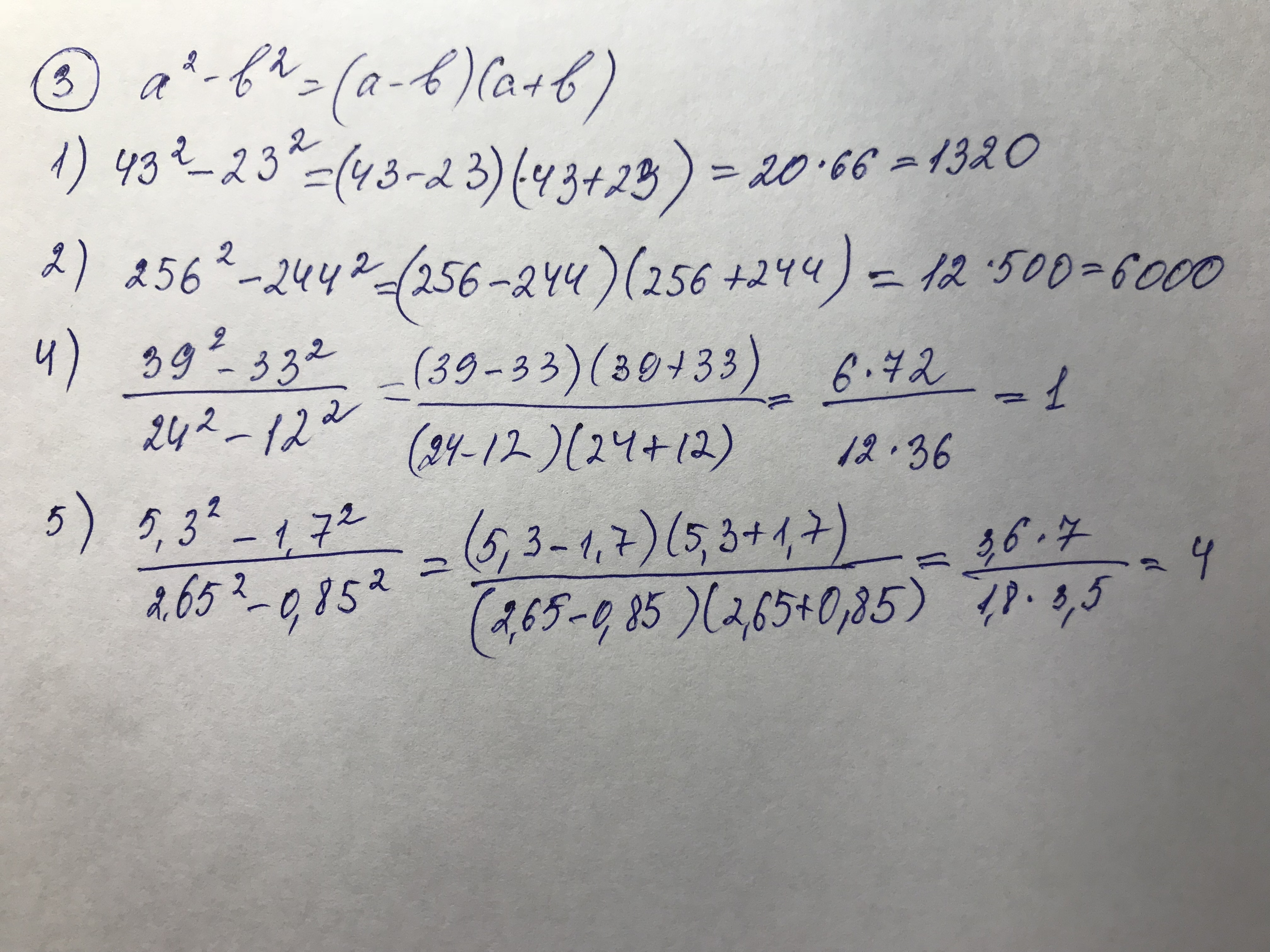
1) (43-23)(43+23)=20×66=1320
2)(256-244)(256+244)=12×500=6000
3)Не видно
4)(39-33)(39+33)/(24-12)(24+12)=6×72/12×36=432/432=1
5)(5,3-1,7)(5,3+1,7)/(2,65-0,85)(2,65+0,85)=3,6×7/1,8×3,5=25,2/6,3=4
2)(256-244)(256+244)=12×500=6000
3)Не видно
4)(39-33)(39+33)/(24-12)(24+12)=6×72/12×36=432/432=1
5)(5,3-1,7)(5,3+1,7)/(2,65-0,85)(2,65+0,85)=3,6×7/1,8×3,5=25,2/6,3=4
Ответ дал:
0
Ответ:
Пошаговое объяснение:
Приложения:
Вас заинтересует
2 года назад
3 года назад
3 года назад
9 лет назад
10 лет назад