• Предмет: Алгебра
  • Автор: gfm40
  • Вопрос задан 8 лет назад

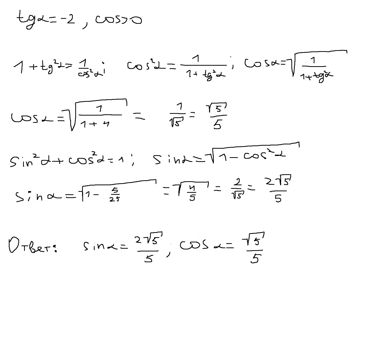
найдите sin a и cos a, если известно, что tg a = -2, cos a > 0

Приложения:

Ответы

Ответ дал: glob4ik
0

Суть ты понял, я надеюсь

Приложения:
Ответ дал: Universalka
0
Синус отрицательный, так как альфа - угол четвёртой четверти.
Ответ дал: Universalka
0

tgα < 0 , Cosα > 0   ⇒   α - угол четвёртой четверти

1+tg^{2} alpha=frac{1}{Cos^{2}alpha}\\Cos^{2}alpha=frac{1}{1+tg^{2}alpha}=frac{1}{1+(-2)^{2} }=frac{1}{5}\\Cosalpha=sqrt{frac{1}{5} }=frac{1}{sqrt{5} }=frac{sqrt{5} }{5}\\Sinalpha=-sqrt{1-Cos^{2}alpha}=-sqrt{1-frac{1}{5} }=-sqrt{frac{4}{5} }=-frac{2}{sqrt{5} }=-frac{2sqrt{5} }{5}

Приложения:
Вас заинтересует