• Предмет: Алгебра
  • Автор: forestinaprice60
  • Вопрос задан 8 лет назад

54 балла за вопрос, помогите пожалуйста!!

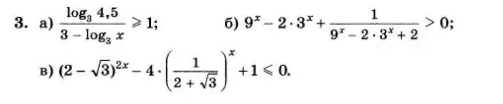
Приложения:

Ответы

Ответ дал: ZLOYTIGROVSKIY
0
*******************TIGROVSKIY************************
Приложения:
Вас заинтересует