• Предмет: Математика
  • Автор: milana2p0058r8r8e
  • Вопрос задан 8 лет назад

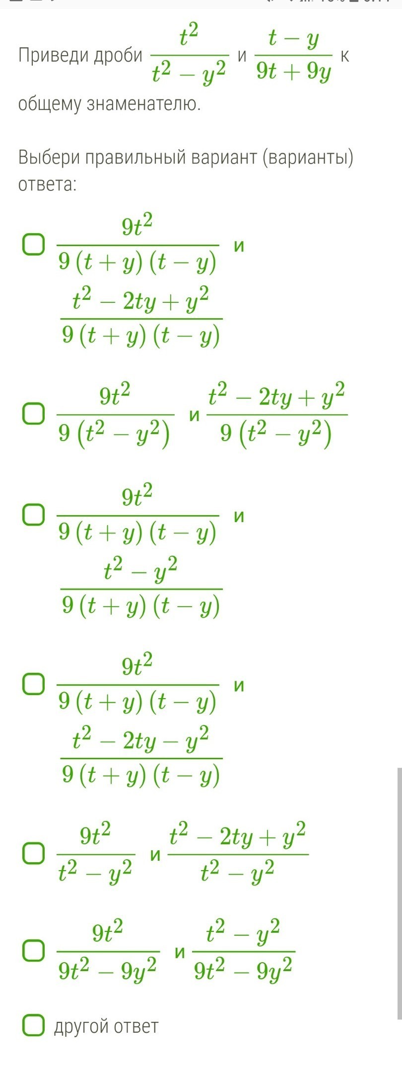
помогите пожалуйста ​

Приложения:

Ответы

Ответ дал: ElzaMi13
0
1, 2 и 4
——————————————————-
Ответ дал: lattemix
0
1.2 и 4 вот ответы на твой вопрос
Вас заинтересует