• Предмет: Математика
  • Автор: zuxriddin61
  • Вопрос задан 8 лет назад

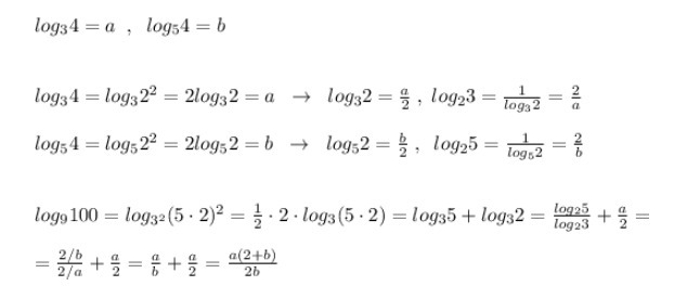
Если log(3)4=a и log(5)4=b то найдите log(9)100

Ответы

Ответ дал: NNNLLL54
0

log_34=a; ; ,; ; log_54=b\\\log_34=log_32^2=2log_32=a; ; to ; ; log_32=frac{a}{2}; ,; log_23=frac{1}{log_32}=frac{2}{a}\\log_54=log_52^2=2log_52=b; ; to ; ; log_52=frac{b}{2}; ,; ; log_25=frac{1}{log_52}=frac{2}{b}\\\log_9100=log_{3^2}(5cdot 2)^2=frac{1}{2}cdot 2cdot log_3(5cdot 2)=log_35+log_32=frac{log_25}{log_23}+frac{a}{2}=\\=frac{2/b}{2/a}+frac{a}{2}=frac{a}{b}+frac{a}{2}=frac{a(2+b)}{2b}

Приложения:
Вас заинтересует