• Предмет: Геометрия
  • Автор: love2929
  • Вопрос задан 8 лет назад

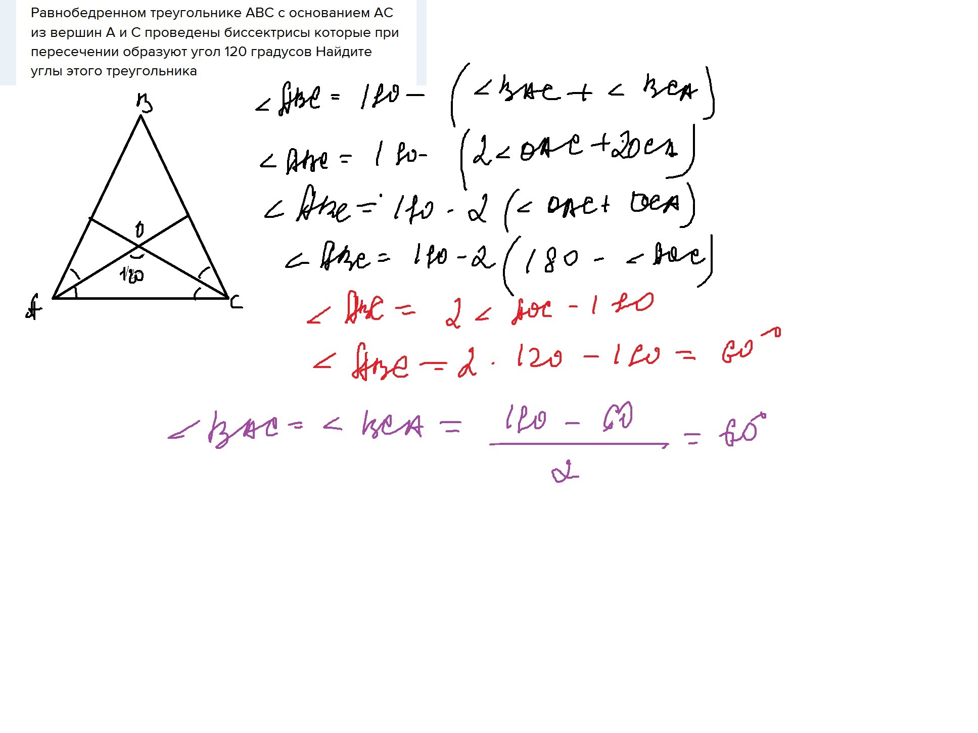
равнобедренном треугольнике ABC с основанием AC из вершин A и C проведены биссектрисы которые при пересечении образуют угол 120 градусов Найдите углы этого треугольника​

Ответы

Ответ дал: vikll
0

равнобедренном треугольнике ABC с основанием AC из вершин A и C

Приложения:
Вас заинтересует