• Предмет: Алгебра
  • Автор: Максим16ri
  • Вопрос задан 8 лет назад

ПОМОГИТЕ ПОЖАЛУЙСТА!!!!!!!

Приложения:

Ответы

Ответ дал: tauekelkyzy
0



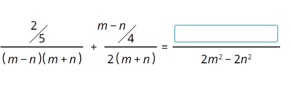
решение:
10+4m-4n/2m2-2n2
очень легкоо

Вас заинтересует