• Предмет: Математика
  • Автор: zippik28
  • Вопрос задан 8 лет назад

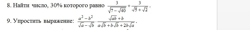
помогите с 8, пожалуйста!!!

Приложения:

Ответы

Ответ дал: daniyarmuhammedkarim
0

Ответ:

10/sqrt(7-sqrt(40))+10/(sqrt5+sqrt2)


Пошаговое объяснение:

Из выражения в условии можно выделить общий множитель 3. И это 30% от некоторого числа. Тогда 100% это то же самое выражение, только общий множитель в нём не 3, а 10.


Приложения:
Ответ дал: daniyarmuhammedkarim
0
2 не дописал.
Ответ дал: daniyarmuhammedkarim
0
Изменил смотри фото.
Ответ дал: zippik28
0
Спасибо большое!!
Ответ дал: daniyarmuhammedkarim
0
Первое решение немножко мудрёное. Посмотри второе фото, там проще.
Ответ дал: zippik28
0
Хорошо,спасибо)
Вас заинтересует