• Предмет: Химия
  • Автор: uliaseketа
  • Вопрос задан 8 лет назад

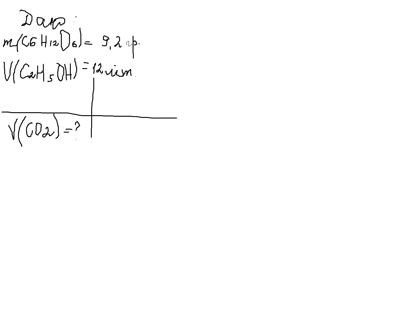
СРОЧНО! ЗАДАЧА !ХИМИЯ!

Приложения:

Ответы

Ответ дал: absyrdniypoet
0

С6Н12О6 -> 2С2Н5ОН + 2СО2

n(C6H12O6) = 9.2/180 = 0.051 моль

n(C2H5OH) = 12/22.4 = 0.54 моль - избыток

n(CO2) = 0.051*2 = 0.102 моль

V(CO2) = 0.102*22.4 = 2.28 л

Вас заинтересует