• Предмет: Алгебра
  • Автор: alexann2007
  • Вопрос задан 8 лет назад

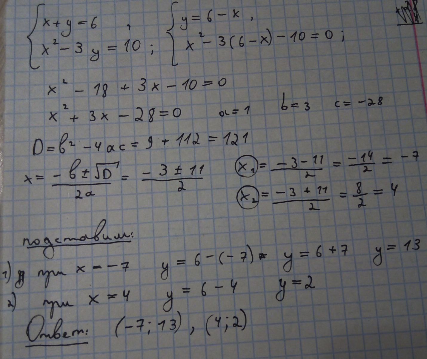
решите систему уравнений
х+у = 6
х квадрат - 3у=10

Ответы

Ответ дал: HeTempl
0

Ответ: (-7;13),(4;2);

Приложения:
Ответ дал: alexann2007
0
Не сложно конечно! Только просьба пометить решение как лучшее приходит чуть позже! Если объясните как это сделать сейчас..... без вопросов сделаю сейчас! :)
Ответ дал: HeTempl
0
В этом не разбираюсь) никогда не задавал вопросы.
Ответ дал: alexann2007
0
вроде разобралась .Значок лучший ответ сразу автоматически появляется когда есть несколько разных ответов. Если один ответ.... предлагают отметить чуть позже.Как только предложат ,сразу отмечу. Ещё раз спасибо!
Ответ дал: HeTempl
0
И вам спасибо
Ответ дал: alexann2007
0
отметила как лучший!
Вас заинтересует