• Предмет: Алгебра
  • Автор: llkk2003
  • Вопрос задан 8 лет назад

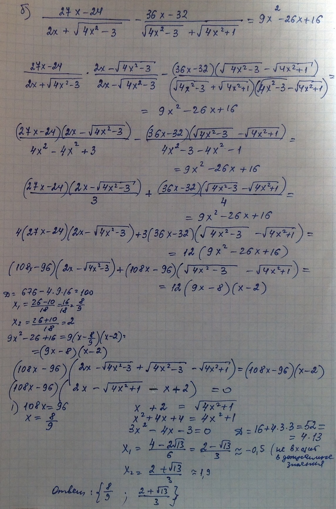
Решить уравнение (используется умножение на сопряженное)
букву а) и б) пожалуйста очень нужно ааааа

Приложения:

Ответы

Ответ дал: maksimcat
0

Ответ на фото//////////////////

Приложения:
Ответ дал: llkk2003
0
воу супер сенкс
Ответ дал: llkk2003
0
ахонь просто
Вас заинтересует