• Предмет: Алгебра
  • Автор: KlariMonro
  • Вопрос задан 8 лет назад

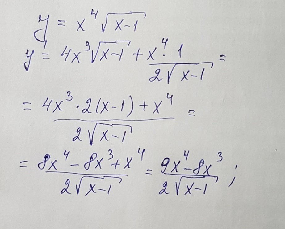
Производная
y=x^4*корень из x-1

Ответы

Ответ дал: 1233090
0

решение задания смотри на фотографии

Приложения:
Вас заинтересует