Помогите с разложением на множители многочлен:
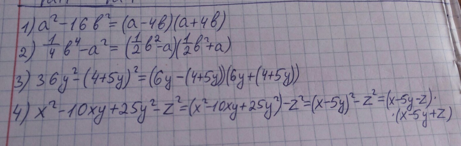
1. a2-16b2
2.1/4b4-a2
3.36y2-(4+5y)2
4.x2-10xy+25y2-z2
Приложения:

Ответы
Ответ дал:
0
1. 2(а-16b)
2. 2(1/2b-a)
3. 2(31y-4)
4. 2(x+5xy+25y-z)
Ну как то так
2. 2(1/2b-a)
3. 2(31y-4)
4. 2(x+5xy+25y-z)
Ну как то так
Ответ дал:
0
Пожалуйста. ........
Приложения:

Вас заинтересует
2 года назад
3 года назад
3 года назад
9 лет назад
9 лет назад
9 лет назад