• Предмет: Математика
  • Автор: natalyvereshchagina
  • Вопрос задан 8 лет назад

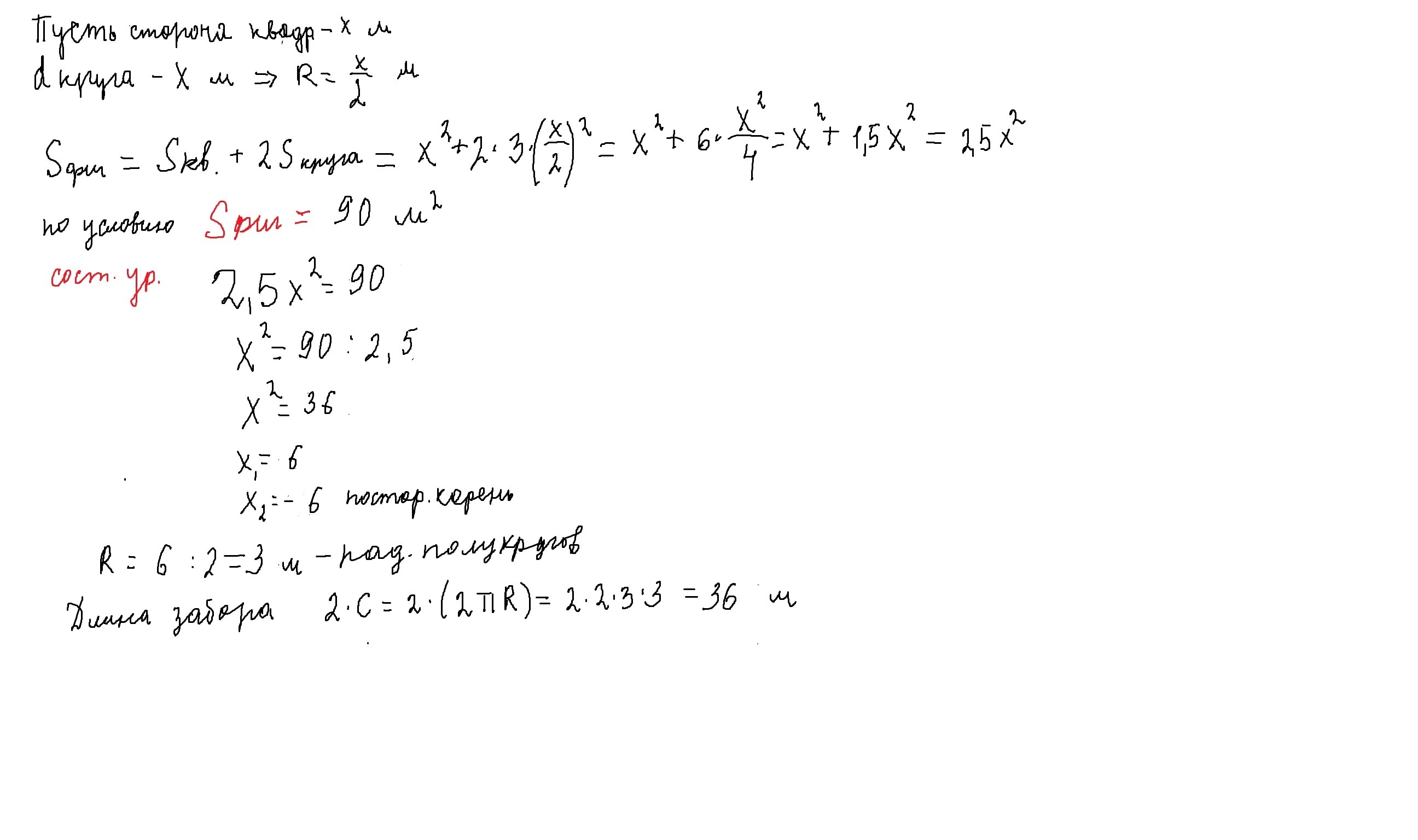
В городе была сделана цветочная клумба, образованная из квадрата и четырёх полукругов.
Площадь клумбы приблизительно равна 90 м².

Сколько метров декоративного забора необходимо вокруг клумбы? В расчётах использовано округлённое значение π≈3.

1. Какова длина стороны квадрата? м.

2. Какова длина радиуса полукругов? м.

3. Какова длина декоративного забора? м.
Ответить!

Ответы

Ответ дал: parus77
0

Ответ:

Ответ: сторона квадрата - 6м

длина радиуса  полукругов -3 м

длина забора- 36 м

Фигура состоит из квадрата и 4 полукругов,площадь которых в сумме равна площади 2 кругов

решение смотри внизу

Приложения:
Вас заинтересует