• Предмет: Математика
  • Автор: dorosheknasty
  • Вопрос задан 8 лет назад

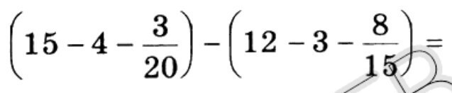
Помогите решить,пожалуйсто

Приложения:

Ответы

Ответ дал: nogannacarelova
0

Ответ:2 1/20


Пошаговое объяснение:

1)15-4=11

2)11-3/20=10 17/20

3)12-3=9

4)9-3/15=8 12/15

5)10 17/20 -8 12/15 = 10 51/60 - 8 48/60 =2 3/60=2 1/20

Вас заинтересует