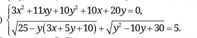
Решите систему иррациональных уравнений
Решите первое уравнение системы как квадратное относительно одной из переменных
Приложения:

Ответы
Ответ дал:
0
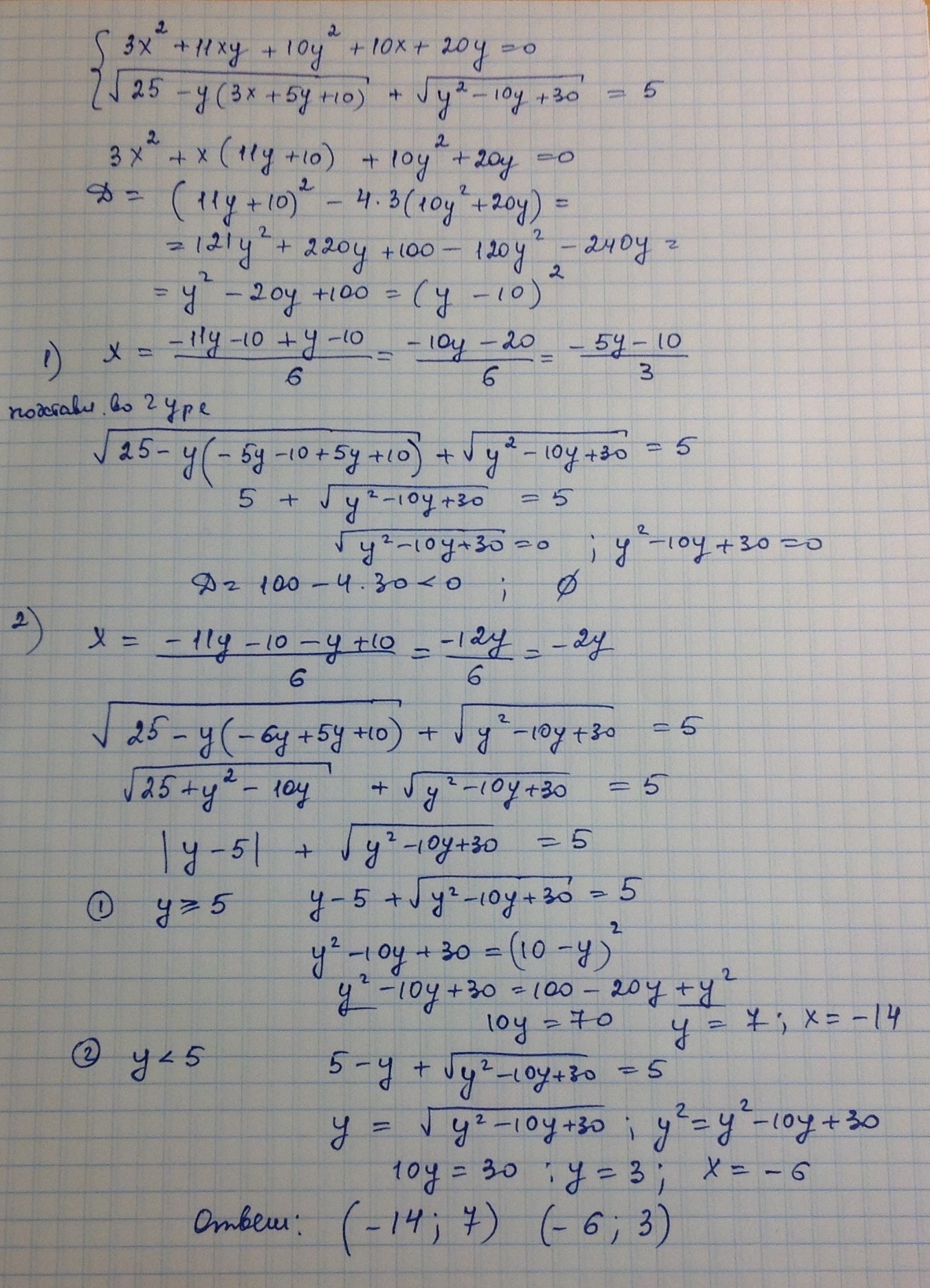
Ответ на фото///////////////////////
Приложения:

Ответ дал:
0
а ты не мог бы ответить на другие мои вопросы?
Вас заинтересует
2 года назад
3 года назад
3 года назад
9 лет назад
9 лет назад