• Предмет: Алгебра
  • Автор: OKArev
  • Вопрос задан 8 лет назад

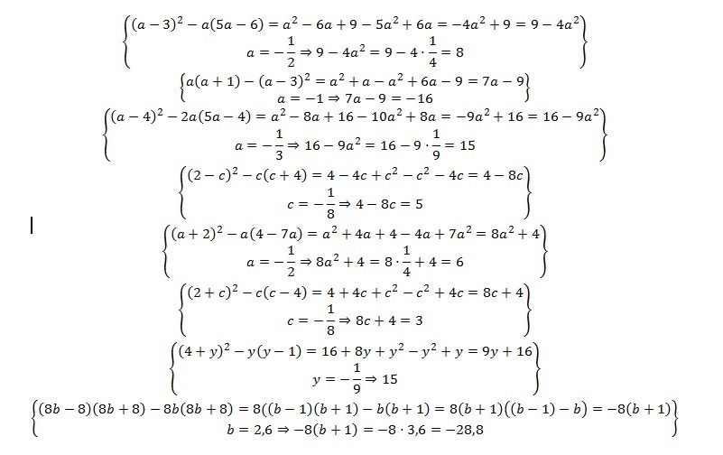
Help me plz +55 point

Приложения:

Ответы

Ответ дал: maks00x
0

Тут вірніше! Читай текст на картинці.

Приложения:
Ответ дал: OKArev
0
Спс пацан подарил пятёрку с счастьем!
Ответ дал: maks00x
0
Рад старатся)
Вас заинтересует