• Предмет: Алгебра
  • Автор: kris9394
  • Вопрос задан 8 лет назад

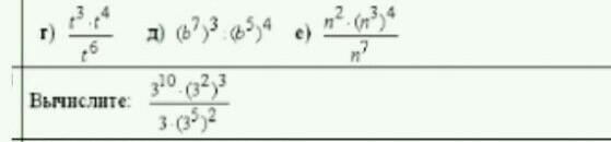
АЛГЕБРА 7 класс. . помогите​

Приложения:

Ответы

Ответ дал: amiralimax96
0

где написанно вычислите там ответ 243

Ответ дал: kris9394
0
как решали
Вас заинтересует