• Предмет: Алгебра
  • Автор: Dila1505
  • Вопрос задан 8 лет назад

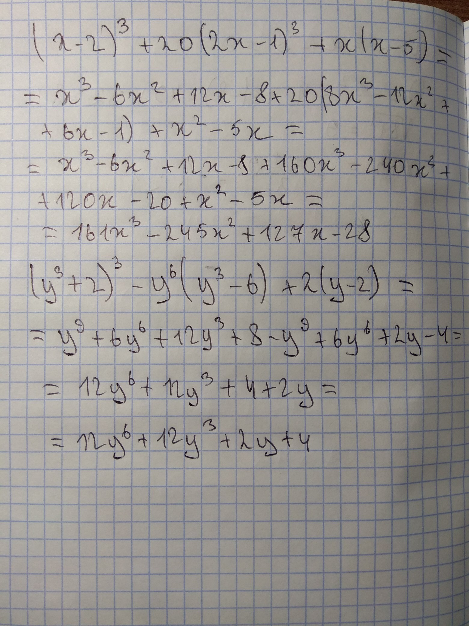
Упростите выражения 2)(x-2)^3+20(2x-1)^3+x(x-5)

4)(y^3+2)^3-y^6(y^3-6)+2(y-2)​

Ответы

Ответ дал: Beside
0

Решение на фото будут вопросы пишите

Приложения:
Ответ дал: Dila1505
0
Спасиииибки))
Ответ дал: Beside
0
рад помочь
Ответ дал: irina3511
0
Вот это на первый пример ответ
Приложения:
Ответ дал: Dila1505
0
Может у меня не получается в фотоматче
Ответ дал: Dila1505
0
да спасибоо
Ответ дал: Dila1505
0
А можешь другое задание решить
Ответ дал: Dila1505
0
???
Ответ дал: irina3511
0
Так вам уже решили)
Вас заинтересует