Химики HELP. Помогите пожалуйста с уравнением.
Составьте уравнения реакций по схеме:
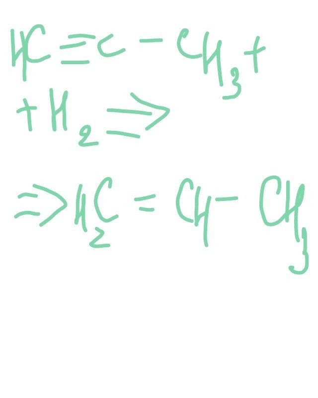
Пропин -> Пропен (CL2) -> ? (?) -> Этиленгликоль
Приложения:
Ответы
Ответ дал:
0
......................
Приложения:
Ответ дал:
0
напиши, если не разберешься)
Ответ дал:
0
Нечего себе уравнение то =))
С последним не понял где 2KOH(в) или как оно там пишется. Или верно? 2КОН(в)
С последним не понял где 2KOH(в) или как оно там пишется. Или верно? 2КОН(в)
Ответ дал:
0
да, KOH(водный). если добавить спиртовой раствор KOH, то получится другое вещество.
Ответ дал:
0
кстати, там либо я ошиблась, либо у вас задание неверное. просто понять не могу, почему сначала было 3 углерода,а в конце получилось 2 (сначала не обратила внимания)
Ответ дал:
0
Даже не знаю, что сказать =)
Нечего на счет химии сказать не могу))) уже забыл ее а так задачу друг попросил решить. А сам просто по спец. программист и с химией не особо дружу. Вообщем спасибо большое =)
Подробнее - на Znanija.com - https://znanija.com/task/31546697#readmore
Нечего на счет химии сказать не могу))) уже забыл ее а так задачу друг попросил решить. А сам просто по спец. программист и с химией не особо дружу. Вообщем спасибо большое =)
Подробнее - на Znanija.com - https://znanija.com/task/31546697#readmore
Вас заинтересует
2 года назад
2 года назад
3 года назад
9 лет назад
10 лет назад