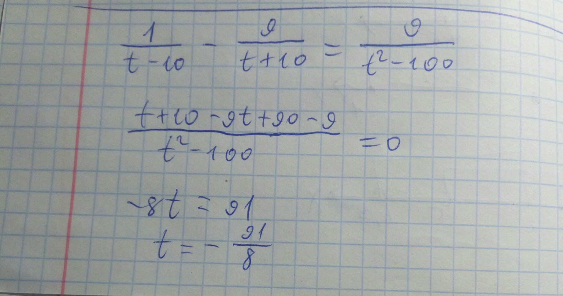
Определи значение переменной k, при котором разность дробей
1/t-10и 9/t+10 равна их произведению.
Ответы
Ответ дал:
0
Если что, обращайся, помогу больше разобраться
Приложения:

Вас заинтересует
2 года назад
2 года назад
3 года назад
8 лет назад
9 лет назад