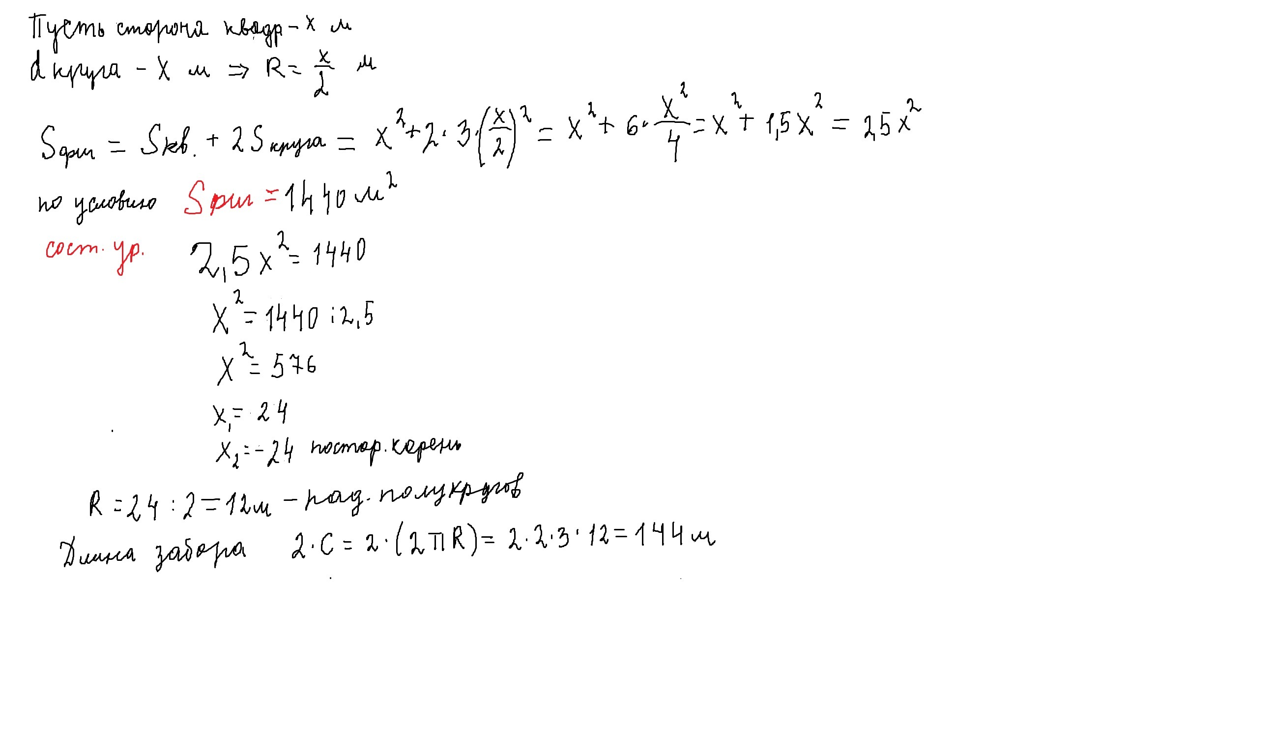
На дворе была сделана цветочная клумба, образованная из квадрата и четырёх полукругов.
Площадь клумбы приблизительно равна 1440 м².
R_laukums.png
Сколько метров декоративного забора необходимо вокруг клумбы? В расчётах использовано округлённое значение π≈3.
1. Какова длина стороны квадрата?
м.
2. Какова длина радиуса полукругов?
м.
3. Какова длина декоративного забора?
м.
умаляю решите правельно пожалуйста
Ответы
Ответ дал:
0
Ответ: сторона квадрата -24м
длина радиуса полукругов -12 м
длина забора- 144м
Фигура состоит из квадрата и 4 полукругов,площадь которых в сумме равна площади 2 кругов
решение смотри внизу
Приложения:

Вас заинтересует
2 года назад
2 года назад
3 года назад
3 года назад
9 лет назад