• Предмет: Математика
  • Автор: ann5663
  • Вопрос задан 8 лет назад

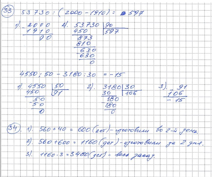
помогите пж мне очень нужно вот смотрите

номер 33,34,35,36.

Приложения:

Ответы

Ответ дал: Lod2000
0

Ответ:


Пошаговое объяснение:

см. вложение........................

Приложения:
Ответ дал: inarinadina
0

Карандашей с собой не оказалось) подписала цвета ручкой)

Приложения:
Вас заинтересует