• Предмет: Математика
  • Автор: dakaria3
  • Вопрос задан 8 лет назад

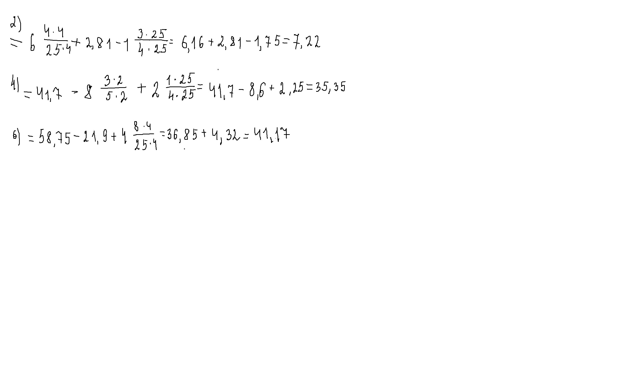
помогите срочно друзья ребят только 2) 4) 6) пример надо​

Приложения:

Ответы

Ответ дал: tatsach
0

Ответ:


Пошаговое объяснение:

2)=6.16+2.81-1.75=7.22

4)=41.7-8.6+2.25=35.35

6)=58.75-21.9+4.32=41.17

Ответ дал: parus77
0

Ответ:

условие не переписываю,пишу сразу после знака "="



Приложения:
Вас заинтересует