• Предмет: Алгебра
  • Автор: tratraig
  • Вопрос задан 8 лет назад

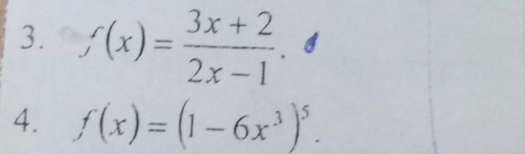
Помогите решить задания производные срочно (15 баллов )

Приложения:

Ответы

Ответ дал: Universalka
0

3)f(x)=frac{3x+2}{2x-1}\\f'(x)=frac{(3x+2)'*(2x-1)-(3x+2)(2x-1)'}{(2x-1)^{2} }=frac{3(2x-1)-2(3x+2)}{(2x-1)^{2} }=frac{6x-3-6x-4}{(2x-1)^{2} } =-frac{7}{(2x-1)^{2} }

4)f(x)=(1-6x^{3})^{5}\\f'(x)=((1-6x^{3})^{5})'=5(1-6x^{3})^{4}*(1-6x^{3})'=5(1-6x^{3})^{4}*(-18x^{2})=-90x^{2}(1-6x^{3})^{4}

Вас заинтересует