• Предмет: Математика
  • Автор: ayalga98
  • Вопрос задан 8 лет назад

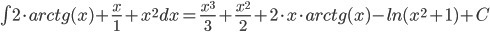
Найти неопределенный интеграл 2arctgx+x /1+x^2 dx

Ответы

Ответ дал: mege1
0

Ответ:


Пошаговое объяснение:


Приложения:
Вас заинтересует