• Предмет: Алгебра
  • Автор: kirill5866
  • Вопрос задан 8 лет назад

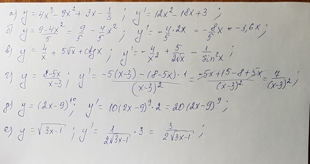
Срочно Найдите производную функции​

Приложения:

Ответы

Ответ дал: 1233090
0

решение задания смотри на фотографии

Приложения:
Вас заинтересует