• Предмет: Математика
  • Автор: MariSun
  • Вопрос задан 8 лет назад

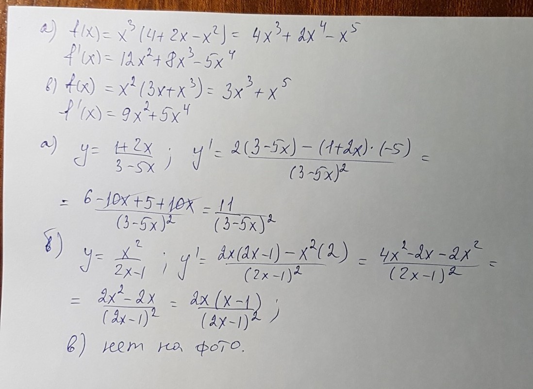
найдите производные функции
209(а,в)
210(а,в)​

Приложения:

Ответы

Ответ дал: 1233090
0

решение задания смотри на фотографии

Приложения:
Ответ дал: MariSun
0
спасибо большое)
Ответ дал: 1233090
0
пожалуйста
Вас заинтересует