• Предмет: Математика
  • Автор: blacktop57
  • Вопрос задан 8 лет назад

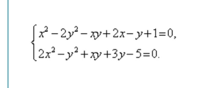
Помогите решить, оч надо 15 баллов ​

Приложения:

Ответы

Ответ дал: 1134680
0

В интернете есть я проверил

Вас заинтересует