• Предмет: Алгебра
  • Автор: asdasdadsasd
  • Вопрос задан 8 лет назад

Решите пожалуйста)))))

Приложения:

Ответы

Ответ дал: Lod2000
0

см. вложение.......................

Приложения:
Ответ дал: WhatYouNeed
0

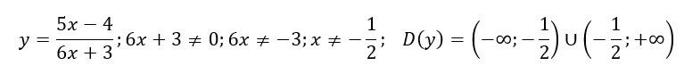
y=frac{5x-4}{6x+3} ;\y=frac{5}{6} *frac{x-4/5}{x+1/2} ;\y=frac{5}{6}*frac{x+1/2-1/2-4/5}{x+1/2};\y=frac{5}{6} *(1+frac{-5/10-8/10}{x+1/2} );\y=frac{5}{6} *(1+frac{-13/10}{x+1/2} );\y=frac{5}{6} +frac{-5*13/(6*10)}{x+1/2} ;\y=frac{5}{6} +frac{-13/12}{x+1/2} ;\

У нас есть гипербола. У которой есть две асимптоты: y=5/6 и x= -1/2.

При этом т.к. знак сверху минус, то график будет во 2 и 4 четверти (Относить новых асимптот, а не оси x и оси у). После того как мы нарисовали график посмотрим на его область определения.

D(y): (-∞;-1/2)∪(-1/2;+∞)

Приложения:
Ответ дал: Lod2000
0
к чему такие заумные расчеты?
Ответ дал: WhatYouNeed
0
Да зато вспомнил как это делается, думал нужно область значений...
Ответ дал: Lod2000
0
ок
Вас заинтересует